我们团队为AG方案联合PD-1治疗晚期胰腺癌再添临床证据
经过近8个月的努力,我们团队的一篇题为:Safety and efficacy analysis of PD-1 inhibitors in combination with gemcitabine plus nab-paclitaxel for advanced pancreatic cancer: a real-world, single-center study的文章终于在SCI杂志OncoTargets and Therapy (影响因子4.0,中科院3区)发表。为晚期胰腺癌的治疗提供了我们的数据及见解。
(图为接收界面截图)
PD-1抑制剂与吉西他滨+白蛋白紫杉醇治疗晚期胰腺癌的安全性和疗效分析:一项真实世界的单中心研究。
【背景】
胰腺癌是消化系统中最致命的恶性癌症之一。胰导管腺癌(PDAC)是胰腺肿瘤的主要病理亚型,是全球第十二常见的恶性肿瘤,是世界第七大癌症相关死因。目前,手术切除和淋巴结清扫被认为是实现良好预后的最有潜力的治疗方法,然而,仅大约25%的胰腺癌患者在首次诊断时可以接受手术治疗。
根据美国国家癌症综合网络(NCCN)指南,目前化疗仍然是对于转移性和晚期胰腺癌患者的主要和最有效的治疗方法。在临床实践中,FOLFIRINOX(5-氟尿嘧啶 + 亚叶酸 + 伊立替康 + 奥沙利铂)或以吉西他滨为基础的化疗方案通常被用作一线化疗。
多年来,程序性细胞死亡蛋白-1(PD-1)一直被研究为最有前景的免疫检查点抑制剂之一,并用于固体肿瘤的治疗以取得显著的益处。然而,胰腺癌通常被认为是对免疫治疗有抵抗性的免疫冷瘤,但临床观察表明,有时可以出现疗效。抗PD-1抗体与AG(吉西他滨+白蛋白紫杉醇)方案联合治疗晚期胰腺癌的作用因不同临床试验和回顾性研究的结果相互矛盾而存在争议。
【纳入与排除】
在这项回顾性研究中,从2019年2月20日至2021年6月21日,来自我们医院的27名无法手术切除的局部晚期或转移性胰腺癌患者接受了PD-1和GnP的治疗。
本研究的纳入标准如下:
(i) 根据NCCN临床实践指南的病理学诊断,被诊断为无法手术切除的局部晚期或转移性PDAC。
(ii) 年龄在18到70岁之间。
(iii) 作为一线治疗接受PD-1与AG治疗。
(iv) 符合固体肿瘤反应评估标准(RECIST,版本1.1)的至少1个可测量病变。
排除标准如下:
(i) 患有其他恶性肿瘤,包括原发性实体肿瘤或血液恶性肿瘤的患者。
(ii) 临床数据不完整的患者。
(iii) Eastern Cooperative Oncology Group(ECOG)疾病分期(PS)为2至4的患者。
【用药方案】
在我们的研究中,所有患者按照21天一个周期接受PD-1与AG治疗。PD-1每3周一次。所有PD-1的信息和剂量都总结在表1中。AG方案如下表2.
(图为纳入的患者使用的PD-1信息)
(图为纳入的患者使用的AG方案)
【结果】
结果一:治疗疗效评估
(图为疗效评估的结果)
结果二:治疗中位周期为7 个周期(范围3-14周期)。在这些胰腺癌患者中,中位总生存期(OS)为16.4个月 [标准误差(SE)= 1.117,95%置信区间(CI) 14.211-18.589](图A),而中位无疾病进展生存期(PFS)为6.4个月(SE = 1.217,95% CI 3.981-8.752)(图B)。1年生存率为66.7%,2年生存率为18.5%,而6个月的无疾病进展生存率为51.9%,12个月的无疾病进展生存率为0。
图A图B
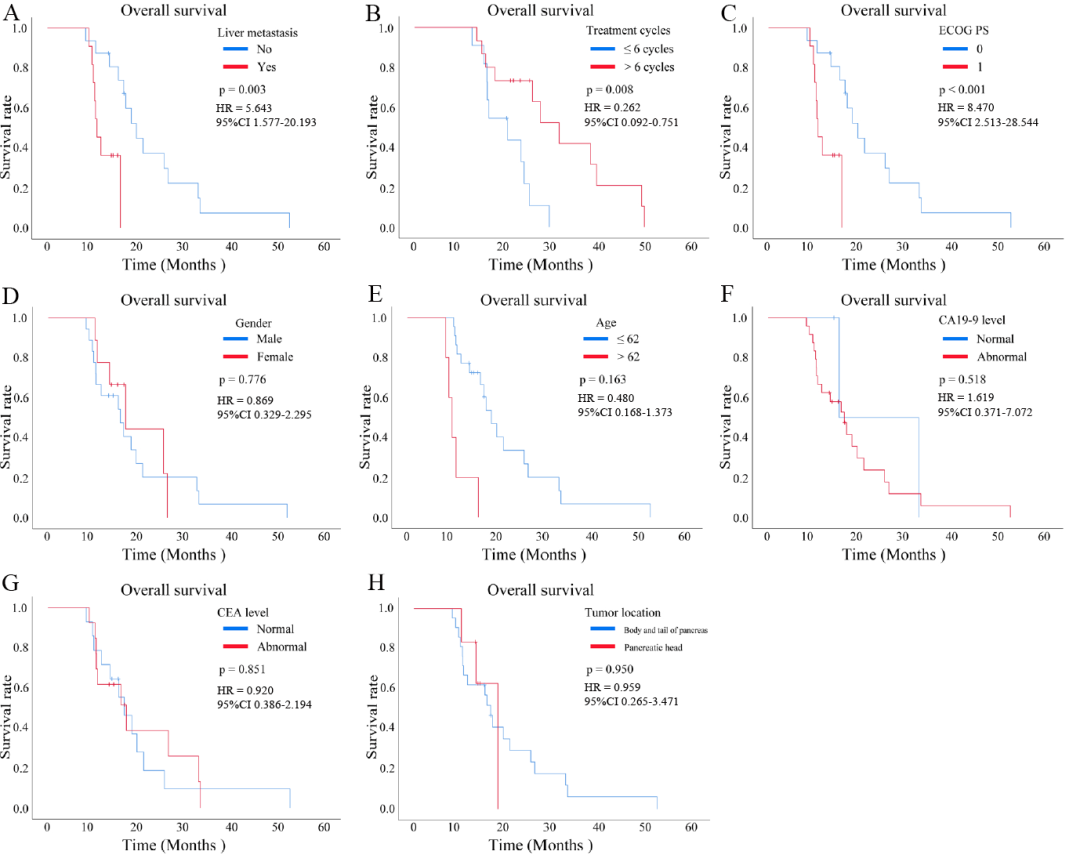
结果三:关于患者不同特征与总生存期(OS)之间的关系,我们发现肝转移(是 vs. 否,p < 0.001,风险比(HR)= 5.643,95%置信区间 1.577-20.193,图A),治疗周期(<= 6周期 vs. >6周期,p = 0.008,HR = 0.262,95%CI 0.092-0.751,图B)和 ECOG PS(0 vs. 1,p = 0.003,HR = 8.470,95%CI 2.513-28.544,图C)与胰腺癌的总生存期显著相关。
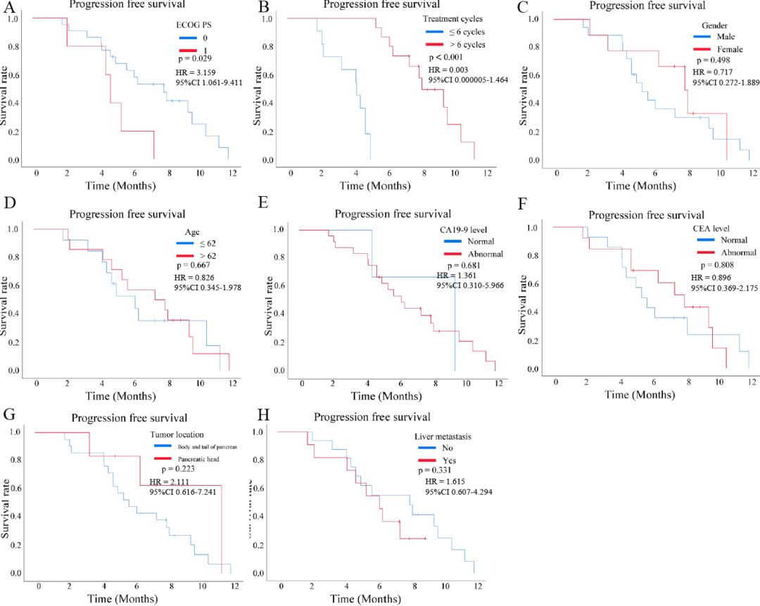
结果四:就无疾病进展生存期(PFS)而言,ECOG PS(0 vs. 1,p = 0.029,HR = 3.159,95%CI 1.061-9.411,图A)和治疗周期(<= 6周期 vs. >6周期,p < 0.001,HR = 0.003,95%CI 0.000005-1.464,图B)与胰腺癌的PFS相关。
结果五:肿瘤标志物CA19-9在接受PD-1与AG治疗的胰腺癌患者中显示出明显的降低趋势(p < 0.01)。然而,降低的CA19-9水平对总生存期(OS)没有产生影响(p = 0.858,HR = 0.911,95%CI 0.330-2.517,图A)和无疾病进展生存期(PFS)(p = 0.250,HR = 0.550,95%CI 0.195-1.552,图B)。
【副作用总结】略
【结论】
本研究表明,PD-1与AG方案化疗结合可能在治疗晚期胰腺癌中带来一些益处。
