心肌梗死患者低密度脂蛋白胆固醇降低和他汀类药物强度与主要不良预后:瑞典全国队列研究
摘要
心血管事件不是单因素造成的,而是多因素共同导致的,其中分不可调节因素和可调节因素,而LDL-C则是心血管事件风险主要且重要的调节因素之一。研究显示,暴露于高LDL-C水平越早、时间越长,其冠心病的累积风险就越高。数据显示,无论治疗前无论LDL-C浓度如何,每单位LDL-C降低所获得的相对心血管风险降低是一致的。临床试验表明,基线LDL-C水平较高的患者似乎从降低的LDL-C治疗中获益最多,LDL-C绝对值降低的幅度越大,死亡率降低的幅度也越大。临床研究显示,尽管接受了降LDL-C治疗,但患者心血管事件风险仍然存在。导致这一结果的发生往往是多因素促成的,如缺乏依从性、未能获得最佳的治疗方案,尽管接受了最大耐受剂量的降脂治疗但仍不能有效控制、治疗方案不耐受、个体间差异等共同作用导致了患者很难达到理想的LDL-C水平。对具有预定义特征的患者进行临床试验评估这种关系的研究往往不能代表真实临床实践中的患者情况。从真实患者群体中评估心肌梗死(MI)后LDL-C水平的早期变化和他汀类药物治疗强度与长期预后之间的相关性的信息很少。
本研究是一项观察性研究,使用了从瑞典心梗登记处SWEDEHEART获得的数据,旨在探究LDL-C变化和他汀类药物强度与心梗后患者预后的关系。
名词解释
Low-density lipoprotein cholesterol (LDL-C):低密度脂蛋白胆固醇
Myocardial infarction (MI):心肌梗死
Major adverse cardiovascular events (MACE):主要心血管不良事件
Proprotein convertase subtilisin/kexin type 9 (PCSK-9):前蛋白转化酶枯草杆菌蛋白酶9型,PCSK9作为一种神经细胞凋亡调节转化酶,不但参与肝脏再生,调节神经细胞凋亡,还能通过降低肝细胞上LDLR的数量,影响LDL内化,使血液中LDL不能清除,从而导致高胆固醇血症,PCSK9能够与LDLR结合,降低肝脏从血液中清除LDL-C的能力。而PCSK9抑制剂,通过抑制PCSK9与LDLR的结合,提高肝脏清除LDL-C的能力,降低血液中LDC-C的水平。
High-density lipoproteincholesterol(HDL-C):高密度脂蛋白胆固醇
表1.指数事件入院时的患者特征。
根据从指数事件到心脏康复就诊的LDL-C降低幅度的四分位距进行分组:LDL-C降低幅度<0.36组(N=10262) 、LDL-C降低幅度在0.36~1.17之间(N=10152) ,LDL-C降低幅度在1.17~1.85之间(N=10131) ,LDL-C降低幅度> 1.85组(N=10062) 。评估了患者人口学特点、药物治疗情况、实验室指标以及降脂治疗,结果显示,指数事件发生时,整个人群中位LDL-C水平为3.1(2.4,3.9)mmol/L,未使用他汀类药物治疗的患者为3.4(2.8, 4.1)mmol/L,正在接受他汀类药物治疗的患者为2.2(1.8,2.8)mmol/L,与LDL-C降幅最小的患者相比,LDL-C降幅最大的四分位数的患者不太可能合并高血压、糖尿病、既往MI和冠状动脉血运重建。
图1.LDL-C四分位数的累积发病率的Kaplan-Meier曲线从指标事件到心脏康复随访时的变化。
分别评估了MACE事件、全因死亡以及心肌梗死的情况,结果显示,随着LDL-C水平的降低,所有事件的风险逐步降低。
图2. LDL-C变化与预后的关系。
Cox比例风险分析调整了临床特征并确定了心血管危险因素。比较指标事件与
心脏康复就诊之间LDL-C的第75个百分位数(1.85 mmol/L)和第25个百分位数(0.36 mmol/L)。结果显示,与LDL-C降低的第25个百分位数(0.36 mmol/L)相比,LDL-C降低第75个百分位数(1.85 mmo/L)的患者所有终点事件的风险较低。
图3. LDL-C从指标事件到心脏康复就诊的复合终点MACE的HR,根据临床特征进行调整,并确定心血管危险因素。
实线为HR,阴影区域为95% Cl。限制性立方样条图显示了LDL-C变化相关的人群分布。结果显示,在MACE患者LDL-C降低的四分位数范围内,HR呈线性降低。
图4. LDL-C和发病率的变化。
数据显示,在指数事件和心脏康复就诊之间,红色表示LDL-C水平无下降或升高,蓝色表示LDL-C水平降低>0但<50%,蓝色表示LDL-C水平降低≥50%。
图A:显示LDL-C水平变化的瀑布图,在指数事件和CR随访期间,10995例(27%)患者LDL-C水平下降了50%以上, 23055名患者(57%)的LDL-C下降<50%;
图B:评估了LDL-C水平变化的MACE、全因死亡、主要血管事件的每1000人/年的发病率与置信区间。结果显示, LDL-C降低的幅度与MACE、全因死亡和主要血管事件的发生率直接相关。与LDL-C降低的患者相比,LDL-C升高或不降低的患者的事件发生率更高,所有事件的风险也更高。
图5. Kaplan-Meier曲线显示心脏康复就诊后他汀类药物治疗强度的累积发病率和LDL-C从指标事件到心脏康复就诊的变化。
红线表示LDL-C无下降或出现升高,绿线表示LDL-C水平降低>0但<50%,蓝线表示LDL-C水平降低≥50%。评估了低等或中等强度降脂与强化降脂的MACE,全因死亡、主要血管事件风险。结果显示,对于全因死亡和CV死亡,观察到1年后事件曲线分离。接受中等强度他汀类药物治疗的患者曲线分离不明显。与LDL-C降低的患者相比,LDL-C升高或不降低的患者的事件发生率更高,所有事件的风险也更高。
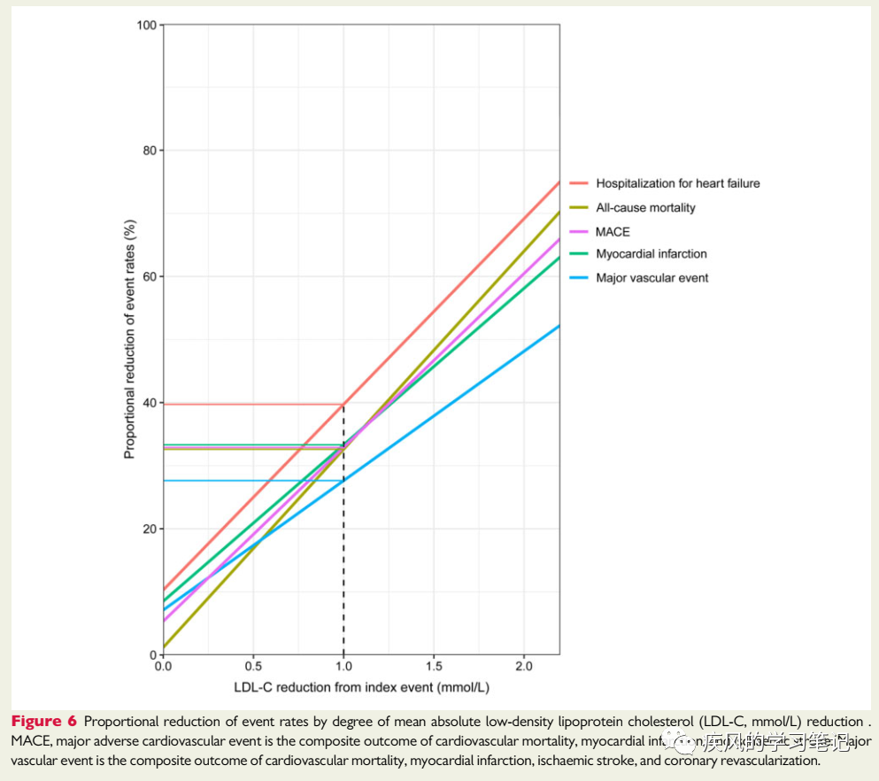
图6.评估LDL-C降低程度和事件发生率降低之间的关系:LDL-C每降低1mmol/L,主要血管事件的相对事件发生率降低约为25%。
讨论
在这项针对M患者的全国性研究中,MI后早期LDL-C水平的降低与MACE发生率和调整后全因死亡、心血管死亡、MI、缺血性卒中、心力衰竭住院和冠状动脉血运重建的的风险降低相关。这些发现在LDL-C下降幅度最大的患者中最为明显,而LDL-C没有下降或升高的患者风险最高。LDL-C水平降低和事件发生率降低之间呈线性关系,与胆固醇治疗试验对他汀类药物治疗试验的meta分析相似。
既往对心肌梗死后LDL-C降低的长期影响进行的大规模观察性研究是有限的。
有趣的是,我们观察到心力衰竭住院人数大幅减少,与死亡率持平,LDL-C也大幅降低。这一发现可能是由于强化降低LDL-C对减少缺血性心脏病末期的真实效果,或者是由于基线人群不平衡所致。
比较LDL-C减低≥50%的患者,我们发现,与低强度或中等强度他汀类药物治疗相比,高强度他汀类药物治疗的患者所有心血管事件的发生率和全因死亡率都较低。
我们在与指数MI相关的事件发生时间上的发现与ProvenIT和A-Z试验相似,这些试验比较了高强度和低强度的他汀类药物治疗,在这些试验中,联合终点的事件曲线在几个月内出现了早期分离。
事实上,在对近期MI患者的FOURIER研究的亚组分析中,与较远发作的MI患者相比,降低LDL-C的效果更明显且出现得更早。总体而言,无论是在我们的研究中还是在上面引用的那些临床试验中,降低LDL-C对CV结果的好处都是一致的。此外,考虑到这项研究的观察性质,他汀类药物所建议的多效性无法解决。
优势与局限性
由于瑞典拥有全民和公共资助的医疗保健,全部的冠心病护理中心均向SWEDEHEART报告,我们能够跟踪瑞典MI总人数的很大一部分。瑞典登记研究中的高质量数据之前就已得到验证。因此,本研究以有限的选择偏倚、随访损失和极少的数据缺失获得了关于长期趋势的重要信息。尽管如此,我们的研究仍然存在局限性。由于研究设计的观察性质,它很容易受到系统性错误的影响,如分类偏倚或残留混淆,以及无法确定因果关系。
为了考虑心肌梗死引起的早期LDL-C水平下降,我们进行了二次分析,包括缺血症状开始到实验室取样之间的时间跨度,以及通过左心室射血分数来评估心肌损害的程度。这些因素都没有影响结果。使用常用的Friedewald方程计算LDL-C可能存在一定的不精确性。在甘油三酯水平高于4.5 mmol/L的患者中,该方程是不准确的,并将这些患者排除在外。
此外,该方程没有将脂蛋白(a)等致动脉粥样硬化颗粒考虑在内,仅使用LDL-C会导致对动脉粥样硬化风险的低估,而且在低LDL-C水平下也可能显示负偏倚。考虑到这些局限性,我们用LDL-C重新计算分析结果。此外,由于无法获得对药物治疗依从性的评估,处方填写数据被用作药物依从性的指标。大约13%的患者在指数事件发生后8-12个月停止服用他汀类药物。停止他汀类药物治疗可能是由于不良事件或依从性较低。
结论
MI后早期积极降低LDL-C似乎可以降低主要心血管事件的风险和死亡率。据我们所知,现在大规模的观察数据第一次证实了在临床试验中看到的风险降低。结果表明,降低LDL-C的益处可扩展到一般MI人群,并可在6个月后起作用。
1.Bore´n J, Chapman MJ, Krauss RM, Packard CJ, Bentzon JF, Binder CJ, Daemen MJ, Demer LL, Hegele RA, Nicholls SJ, Nordestgaard BG, Watts GF, Bruckert E, Fazio S, Ference BA, Graham I, Horton JD, Landmesser U, Laufs U, Masana L, Pasterkamp G, Raal FJ, Ray KK, Schunkert H, Taskinen M-R, Sluis BVD, Wiklund O, Tokgozoglu L, Catapano AL, Ginsberg HN. Low-density lipoproteins cause atherosclerotic cardiovascular disease: pathophysiological, genetic, and therapeutic insights: a consensus statement from the European Atherosclerosis Society Consensus Panel. Eur Heart J Oxford Academic 2020;41:2313–2330. 2. de Lemos JA, Blazing MA, Wiviott SD, Lewis EF, Fox KAA, White HD, Rouleau JL, Pedersen TR, Gardner LH, Mukherjee R, Ramsey KE, Palmisano J, Bilheimer DW, Pfeffer MA, Califf RM, Braunwald E, Investigators. Early intensive vs a delayed conservative simvastatin strategy in patients with acute coronary syndromes: phase Z of the A to Z trial. JAMA 2004;292:1307–1316. 3. Cannon CP, Blazing MA, Giugliano RP, McCagg A, White JA, Theroux P, Darius H, Lewis BS, Ophuis TO, Jukema JW, De Ferrari GM, Ruzyllo W, De Lucca P, Im K, Bohula EA, Reist C, Wiviott SD, Tershakovec AM, Musliner TA, Braunwald E, Califf RM. Ezetimibe added to statin therapy after acute coronary syndromes. N Engl J Med 2015;372:2387–2397. 4. Sabatine MS, Giugliano RP, Keech AC, Honarpour N, Wiviott SD, Murphy SA, Kuder JF, Wang H, Liu T, Wasserman SM, Sever PS, Pedersen TR. Evolocumab and clinical outcomes in patients with cardiovascular disease. N Engl J Med 2017; 376:1713–1722. 5. Schwartz GG, Steg PG, Szarek M, Bhatt DL, Bittner VA, Diaz R, Edelberg JM, Goodman SG, Hanotin C, Harrington RA, Jukema JW, Lecorps G, Mahaffey KW, Moryusef A, Pordy R, Quintero K, Roe MT, Sasiela WJ, Tamby J-F, Tricoci P, White HD, Zeiher AM. Alirocumab and cardiovascular outcomes after acute coronary syndrome. N Engl J Med 2018;379:2097–2107. 6. Mach F, Baigent C, Catapano AL, Koskinas KC, Casula M, Badimon L, Chapman MJ, De Backer GG, Delgado V, Ference BA, Graham IM, Halliday A, Landmesser U, Mihaylova B, Pedersen TR, Riccardi G, Richter DJ, Sabatine MS, Taskinen M-R, Tokgozoglu L, Wiklund O, ESC Scientific Document Group. 2019 ESC/EAS Guidelines for the management of dyslipidaemias: lipid modification to reduce cardiovascular risk. The Task Force for the management of dyslipidaemias of the European Society of Cardiology (ESC) and European Atherosclerosis Society (EAS). Eur Heart J 2020;41:111–188. 7. Baigent C, Keech A, Kearney PM, Blackwell L, Buck G, Pollicino C, Kirby A, Sourjina T, Peto R, Collins R, Simes R, Cholesterol Treatment Trialists’ (CTT) Collaborators. Efficacy and safety of cholesterol-lowering treatment: prospectiv meta-analysis of data from 90,056 participants in 14 randomised trials of statins. Lancet Lond Engl 2005;366:1267–1278. 8. Navarese EP, Robinson JG, Kowalewski M, Kolodziejczak M, Andreotti F, Bliden K, Tantry U, Kubica J, Raggi P, Gurbel PA. Association between baseline LDL-C level and total and cardiovascular mortality after LDL-C lowering: a systematic review and meta-analysis. JAMA 2018;319:1566–1579. 9. Kennedy-Martin T, Curtis S, Faries D, Robinson S, Johnston J. A literature review on the representativeness of randomized controlled trial samples and implications for the external validity of trial results. Trials 2015;16:495. 10. Jernberg T, Attebring MF, Hambraeus K, Ivert T, James S, Jeppsson A, Lagerqvist B, Lindahl B, Stenestrand U, Wallentin L. The Swedish Web-system for Enhancement and Development of Evidence-based care in Heart disease Evaluated According to Recommended Therapies (SWEDEHEART). Heart 2010; 96:1617–1621. 11. Martin SS, Blaha MJ, Elshazly MB, Toth PP, Kwiterovich PO, Blumenthal RS, Jones SR. Comparison of a novel method vs the Friedewald equation for estimating low-density lipoprotein cholesterol levels from the standard lipid profile. JAMA 2013;310:2061–2068. 12. Sampson M, Ling C, Sun Q, Harb R, Ashmaig M, Warnick R, Sethi A, Fleming JK, Otvos JD, Meeusen JW, Delaney SR, Jaffe AS, Shamburek R, Amar M, Remaley AT. A new equation for calculation of low-density lipoprotein cholesterol in patients with normolipidemia and/or hypertriglyceridemia. JAMA Cardiol 2020;5: 540–548.
