2023ACR速递滑膜炎与手骨关节炎、肠道菌群与风湿病之间的关系—来自中南大学湘雅医院的研究
2023年美国风湿病学会ACR年会将于11月10日-11月15日在美国的圣迭戈(圣地亚哥)举行。本次ACR年会将展示风湿病学的前沿进展,包括风湿疾病及其相关并发症的预防、诊断和治疗。本期我们整理了中南大学湘雅医院在会议上发表的两项研究结果。
风湿免疫界将持续报道2023ACR年会相关最新研究进展,更多内容敬请期待!
滑膜炎与手骨关节炎风险:来自湘雅骨关节炎研究的数据
背景/目的
滑膜炎是手骨关节炎(HOA)一种可改变的病理病变。虽然滑膜炎与HOA的患病率和症状有关,但滑膜炎是否会增加HOA的发生风险尚不清楚。我们的目的是检查基线滑膜炎与HOA之间的关系。
方法
我们在湘雅OA(XO)研究的参与者中进行了一项前瞻性队列研究。对患者双手进行X线和超声检查,可靠性在以前的研究中已经描述过。无基线放射学HOA(手关节的kelgren-lawrence分级≥2)或症状性HOA(Kellgren-Lawrence分级≥2 +同一手关节自我报告症状)的手被纳入分析。偶发性HOA被定义为在3年随访期间放射学HOA或症状性HOA的发展。超声将手滑膜炎定义为灰度滑膜炎≥2级。采用功率多普勒信号(PDS)对滑膜炎的炎症活性进行评估。我们使用广义估计方程分别检验滑膜炎与放射学和症状性HOA风险的关系。我们评估了基线时滑膜炎负荷(受滑膜炎影响的手关节数量)和滑膜炎炎症活动性(即无滑膜炎、无PDS的滑膜炎和有PDS的滑膜炎)与HOA风险之间的剂量-反应关系。我们通过人群归因分数(PAF)量化了滑膜炎对HOA风险的影响。
结果
研究分别纳入4,022只放射学HOA(2280名参与者)的手和5,016只症状性HOA(2280名参与者)的手(图1)。在3年的随访中,857(21.3%)只手出现偶发性HOA,111(2.2%)只手出现症状性HOA。如表1所示,基线手滑膜炎与影像学HOA(OR=2.69,95% CI: 2.06-3.53,P<0.01)和症状性HOA(OR=1.73, 95% CI:1.05-2.85,P=0.03)的风险增加相关。
图1 (A)湘雅骨关节炎研究(XO研究)检查周期图;(B)新发放射学或症状性HOA研究参与者筛选流程图
图2显示,滑膜炎手关节数与影像学和症状性HOA风险之间存在很强的剂量-反应关系(P为趋势,P<0.05)。与无滑膜炎的手相比,有滑膜炎但无PDS的手发生放射学HOA的风险高2.6倍(OR=2.56,95% CI:1.95 ~ 3.36,P<0.01),有滑膜炎和PDS的手发生放射学HOA的风险高10.4倍(OR=10.42,95% CI:1.51 ~ 71.81,P=0.03),趋势P值有统计学意义。由于样本量有限,我们无法评估基线滑膜炎活动与症状性HOA风险之间的关系。大约12.5%的放射学HOA和13.3%的症状性HOA归因于手滑膜炎。
图2 3年随访期间,基线滑膜炎负荷与放射学或症状性HOA的关系
表13年随访期间,基线手滑膜炎与放射学或症状性HOA之间的关系
结论
在一般人群中,滑膜炎与偶发放射学和症状性骨关节炎的风险增加有关。这种关联的强度随着滑膜炎的负荷和炎症活动的增加而增加。这些结果支持滑膜炎作为HOA的危险因素和疾病预防的预期目标。
肠道微生物群与风湿疾病之间的因果关系:一项孟德尔随机研究
背景/目的
肠道微生物群越来越被认为是风湿性疾病重要的新靶点。然而,以往的研究主要是检查相关性,导致因果关系很大程度上未知,这阻碍了肠道微生物群在预防和治疗风湿病中的临床应用。
方法
我们进行了孟德尔随机化(MR)分析,以调查肠道微生物群与风湿病之间的因果关系。从已发表的欧洲血统个体的全基因组关联研究(GWAS)(N=18,340)中提取了141个肠道微生物群分类群的遗传工具,并从公开的GWAS和FinnGen数据库中获得了14种风湿性疾病的汇总统计数据(样本量范围为6,190-417,596)。使用几种MR方法(如反方差加权和加权中位数)来检查因果关系,并进行双向MR和共定位分析,分别检查潜在的双向因果关系以及肠道微生物群和风湿病是否具有相同的因果变异。
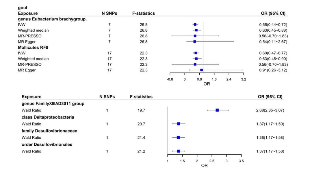
141种肠道微生物群与14种风湿病相关性的孟德尔随机化结果
结果
多次检验后,肠道菌群与风湿病之间的6对关系仍具有统计学意义(FDR<0.05),其中FamilyXIIIAD3011属(OR=2.68, 95% CI:2.35-3.07)、变形菌纲(Deltaproteobacteria)(OR=1.37, 95% CI:1.17-1.59)、弧菌科(Desulfovibrionaceae)(OR=1.36, 95% CI:1.17-1.58)、弧菌目(Desulfovibrionales)(OR=1.36, 95% CI:1.17-1.58)增加强直性脊柱炎的发病风险。GenusEubacterium brachy group(OR=0.57, 95% CI:0.44-0.72)和order Mollicutes RF9(OR=0.61, 95% CI:0.48-0.77)降低痛风风险。其中,不同MR方法的结果是一致的。通过共定位分析,我们发现三角洲变形菌纲、Desulfovibrionaceae科和Desulfovibrionales与强直性脊柱炎具有相同的遗传变异。没有证据表明微生物群和风湿病之间存在双向因果关系。
痛风和强直性脊柱炎N SNPs的森林图,遗传工具数量
肠道微生物群和风湿病的双向孟德尔随机化和共定位结果
结论
我们确定并提供了六个新的肠道微生物群与风湿病之间的因果关系的遗传证据。如果在未来的动物研究或临床试验中得到证实,我们的研究结果可以作为风湿病的新的临床靶点,从而有利于强直性脊柱炎和痛风的预防和治疗。
声明:本文仅供医疗卫生专业人士阅读
